In AP Calculus AB, one of the key concepts that students learn is integration using the method of u-substitution. This technique allows students to simplify complex integrals by substituting a new variable in place of the original variable. By doing so, students can solve integrals that may have been challenging to compute using traditional methods.
U-substitution is a powerful tool that helps students tackle a wide range of integration problems. It is particularly useful when dealing with functions that are the composition of two functions or when the integrand contains a product of functions. By making a strategic substitution, students can transform the integral into a simpler form that is easier to evaluate.
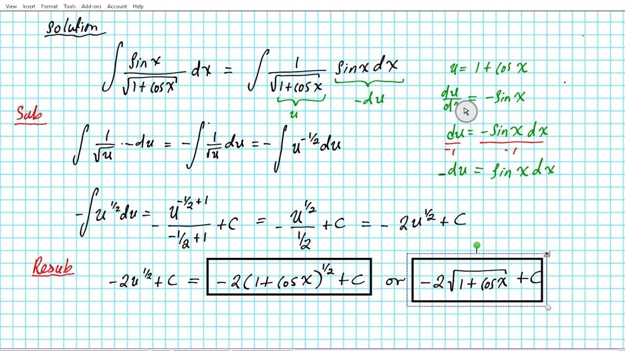
When working on a worksheet that focuses on AP Calc AB integration with u-substitution, students can expect to encounter a variety of problems that test their understanding of the method. These problems may involve trigonometric functions, exponential functions, logarithmic functions, or combinations of these functions. Students will need to carefully choose the appropriate u-substitution to make the integral more manageable.
As students work through the worksheet, they will gain valuable practice in applying u-substitution to different types of integrals. They will also develop their problem-solving skills and strengthen their understanding of how to approach integration problems using this method. By completing the worksheet, students can build confidence in their ability to tackle challenging integrals and prepare for the AP Calculus AB exam.
Overall, the AP Calc AB integration with u-substitution worksheet provides students with a valuable opportunity to practice and master this important technique. By engaging with a variety of problems that require u-substitution, students can deepen their understanding of integration and enhance their problem-solving skills. Through consistent practice and perseverance, students can become proficient in using u-substitution to solve complex integrals and excel in their AP Calculus AB studies.
In conclusion, the AP Calc AB integration with u-substitution worksheet offers students a valuable learning experience that can help them strengthen their skills in calculus. By working through the problems on the worksheet, students can enhance their understanding of u-substitution and improve their ability to solve challenging integrals. With dedication and practice, students can build confidence in their calculus abilities and prepare effectively for the AP Calculus AB exam.
